W tym tygodni przyszedł czas na radnych z Marek.W porówananiu z Tłuszczem obecność mareckich radnych jest przeciętna. Na naszą prośbę przewodnicząca rady miasta Maria Przybysz-Piwko, oraz w-ce przewodniczący Tadeusz Skłodowski, napisali o współpracy z Radą tej kadencji.
Maria Przybysz-Piwko: – Kieruję Radą Marek już trzecią kadencję, ale unikam wszelkich porównań. Wejście do rady miasta nakłada na radnego obowiązek dbania o dobro całej wspólnoty, jaką jest miasto, bardziej niż zabieganie o zaspokojenie potrzeb swoich wyborców. Oczywiście jest rzeczą naturalną, że te dwie tendencje będą zawsze współistnieć, niekiedy nawet ze sobą rywalizować podczas podejmowania decyzji na sesjach rady.
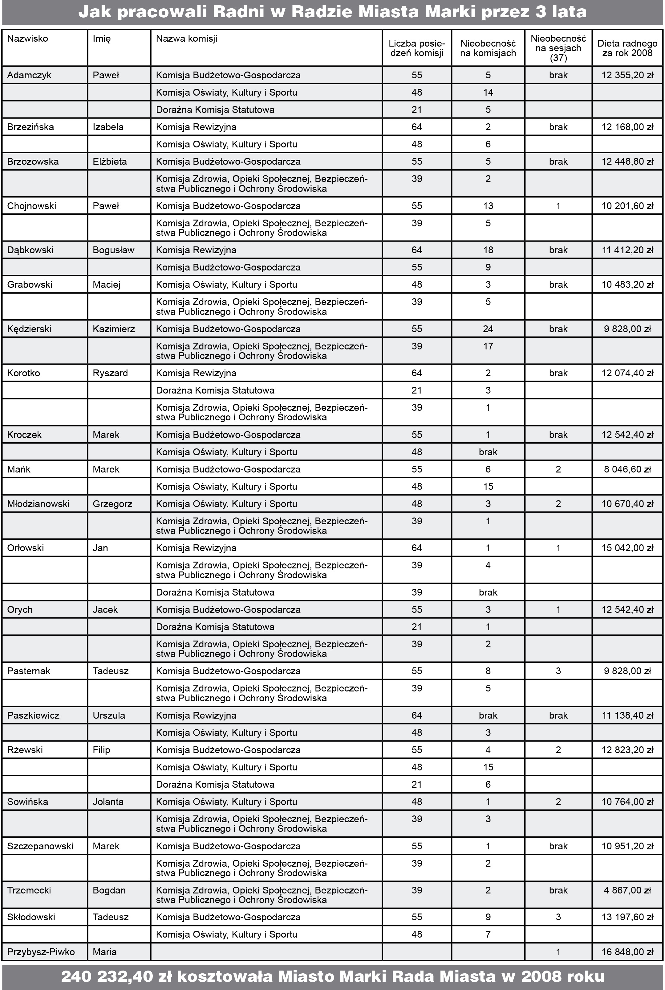
Jednak to komisje rady są miejscem, gdzie wypracowuje się, podczas niekiedy długich, ale najczęściej rzeczowych dyskusji, stanowiska. Głosowania podczas sesji to decydowanie się z pełną odpowiedzialnością na pewien wybór. Sądząc po częstości zabierania głosu przez poszczególnych radnych, treści formułowanych zapytań, interpelacji, czy inicjatyw uchwałodawczych można powiedzieć, że radni są aktywni. Różnie bywa z przygotowaniem do dyskusji, nie wszyscy bowiem bezpośrednio zapoznają się z materiałami zdeponowanymi w biurze rady, które dotyczą poszczególnych uchwał. Z przeglądu danych na temat frekwencji radnych na sesjach i posiedzeniach komisji rady wynika, że podczas 37 sesji nieobecne były pojedyncze osoby spośród 21. osobowej rady (w sumie 18 nieobecności). Siedmiu radnych opuściło ponad 10 razy posiedzenia komisji, których są członkami. Oczywiście z powodu nieobecności nie otrzymali diety. Mogę przypuszczać, że przyczyny niezależne od radnych miały wpływ na taki stan rzeczy podczas ponad trzyletniej naszej pracy jako radnych kadencji 2006-2010. Zawsze są to pojedyncze nieobecności, które nie dezorganizują prac w komisjach.
Myślę, że kwota, którą jako radni otrzymujemy z tytułu pełnienia funkcji radnego została ustalona na właściwym poziomie i można powiedzieć, że jest adekwatna do wkładu pracy każdego z nas.
Tadeusz Skłodowski: – Widać zaangażowanie i troskę zabierających głos o wypracowanie jak najlepszego rozwiązania. Niestety często kończy się, gdy przychodzi do głosowania. Występują sytuacje, że z góry można domyślić się jaki będzie wynik głosowania (choćby ostatnie dotyczące sprzedaży 1% udziału jakie ma miasto w spółce Marecki Ośrodek Zdrowia). W głosowaniu nie ma już argumentów, każdy radny ma jeden głos. Różnica jest tylko w tym czy jest to głos wynikający z przekonania o słuszności sprawy, czy wynika z otrzymanego „polecenia”. Nasza Rada wykonuje otrzymane polecenia, sporadycznie wychodzi z własnymi inicjatywami.
Trudności występują w dostępie do dokumentów, a w zasadzie braku informacji, że takowe są i dotyczą omawianego zagadnienia.

